エステートタイムズが2025年下期の 首都圏不動産競売統計を発表

~不動産競売、物件数が前年を上回り、落札率は低下~

首都圏エリアの不動産競売情報を扱う株式会社エステートタイムズ(所在地:東京都豊島区、代表:阿南 順也)が、2025年下期の不動産競売統計(期間入札)を発表します。

不動産競売動向2025下期
不動産競売動向2025下期

概況

首都圏の競売物件数は、長年にわたり減少傾向が続いてきましたが、2025年は増加に転じました。一方、落札率は低下傾向にあり、およそ3年間減少が続いていた入札本数は、2025年下期に入り横ばいからやや増加しています。また、落札価格は下落傾向が続いていましたが、2025年下期は上期と比べてやや上昇しました。

1都3県不動産競売動向推移
1都3県不動産競売動向推移

物件数の増加

2025年の首都圏(1都7県)の競売物件数は、前年と比べて約12%増加しました。都県別では、茨城県のみ前年とほぼ同数だった一方、その他の1都6県ではいずれも物件数が増加しています。最も増加したのは埼玉県で30%以上、多くの都県では10%前後の増加となりました。

入札本数減少と、落札率低下の傾向

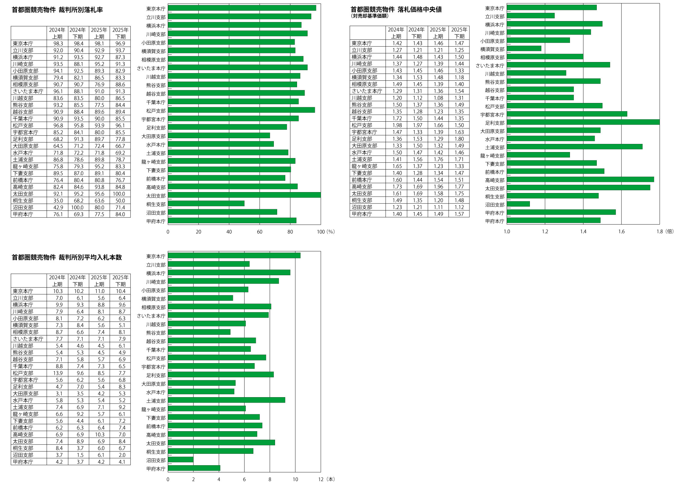
1都3県では90%を上回る高い落札率が長く続いており、これまでは全件が落札となる開札期日も珍しくありませんでした。しかし、2025年下期は東京都で約95%を維持した一方、他県では90%を下回る水準に低下し、不売物件が目立ちはじめました。本庁・支部単位で落札率が90%を超えたのは、東京地裁本庁(23区および島嶼)・立川支部(多摩地区)、横浜地裁川崎支部(川崎市)、さいたま地裁本庁(さいたま市、川口市、戸田市ほか)、千葉地裁松戸支部(松戸市、柏市、流山市ほか)といった東京23区とその周辺部に限られました。
また、2022年をピークに急激な減少傾向が続いている入札本数は、2025年下期は上期と比べて横ばいからやや増加しました。一方、かつて入札本数の多かった千葉県では2025年も減少が続き、3年間で半減する大きな減少幅となっています。

不動産競売動向3年前との比較
不動産競売動向3年前との比較

落札価格の下落はやや止まる

コロナ禍以降に急上昇した落札価格は、その後下落傾向が続いていましたが、2025年下期は上期と比べてやや上昇の動きが見られました。近年、下落幅が大きかった埼玉県では上昇した一方、千葉県ではさらに下落が続いています。本庁・支部単位では東京地裁本庁と横浜地裁川崎支部では、下落幅は比較的小さく、落札価格の変動は限定的でした。一方、一時価格が大きく下落したさいたま地裁の本庁・支部では上昇が見られています。これに対し、千葉地裁では本庁・支部ともに下落が続いています。1都3県以外では水戸地方裁判所土浦支部、前橋地方裁判所高崎支部などは高い落札価格となっています。

首都圏裁判所別競売データ2025年下期
首都圏裁判所別競売データ2025年下期
2025年下期不動産競売動向
2025年下期不動産競売動向

*対象は首都圏各裁判所、東京都(東京地方裁判所本庁・立川支部)、神奈川県(横浜地方裁判所本庁・川崎支部・小田原支部・横須賀支部・相模原支部)、埼玉県(さいたま地方裁判所本庁・川越支部・熊谷支部・越谷支部)、千葉県(千葉地方裁判所本庁・松戸支部)、栃木県(宇都宮地方裁判所本庁・足利支部・大田原支部)、茨城県(水戸地方裁判所本庁・土浦支部・龍ヶ崎支部・下妻支部)、群馬県(前橋地方裁判所本庁・高崎支部・太田支部・桐生支部・沼田支部)、山梨県(甲府地方裁判所本庁)、期間入札の物件は農地競売を除く
*落札率は期間入札の公告に付された物件中、取下等で開札の対象外となった物件を除いた落札物件の割合
*落札価格は、売却基準価額に対する乖離率の中央値
*過去の統計などは情報サイト https://keibai.jp に掲載しています

会社概要

会社名 : 株式会社エステートタイムズ
所在地 : 東京都豊島区上池袋1-34-10 秋山ビル1階・2階・3階・4階
代表  : 阿南 順也
事業内容: 首都圏エリアの不動産競売情報を扱う出版社
URL   : https://estatetimes.jp


AIが記事を作成しています