「不動産×WEB×ビッグデータ」の領域で、さまざまな不動産テックサービスを展開する株式会社ワンノブアカインド(本社:東京都港区、代表取締役社長:川島 直也、以下当社)は、当社が運営するマンション情報サイト「マンションレビュー」の保有データを元にした、2021年2月の全国市区町村における「マンション坪単価」および前年同月と比較した「騰落率」のランキング、都心5区(千代田区・中央区・港区・新宿区・渋谷区)に20政令指定都市を加えた主要25市区での「マンション坪単価」の変遷を調査し、発表いたしました。
【サマリー】
■マンション坪単価ランキング100
・全国1位は「東京都港区」の444万6,300円。
・上位10位までは東京が占めるが、11位に武蔵小杉駅のある「神奈川県川崎市中原区」がランクイン。
・上位20位まではすべて首都圏の市区。100位までのうち、首都圏の市区は64%、近畿地方が26%。
■騰落率ランキング100
・全国1位は「福岡県北九州市門司区」の+44.14%。
・上位10位までに福岡県が3市区ランクイン。
・対象の全242市区町村のうち、騰落率がプラスとなったのは175市区。
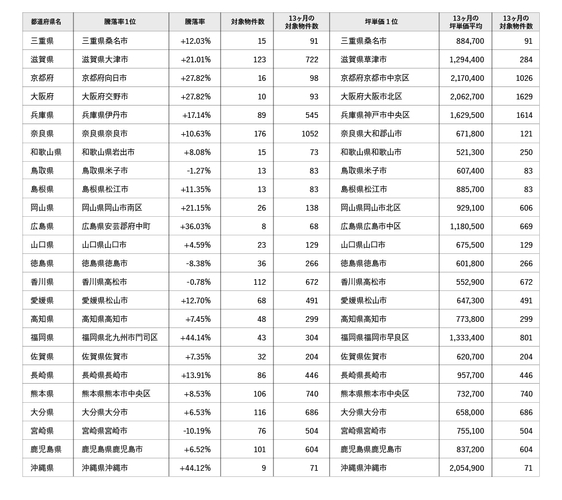
■47都道府県 騰落率/マンション坪単価 トップの市区町村
・各都道府県での1位の騰落率がマイナスとなっている県は9県。
・坪単価の1位は「東京都」(港区)、47位は「秋田県」(秋田市)。
■主要25市区 騰落率/マンション坪単価
・主要25市区での騰落率1位は「福岡県北九州市小倉北区」の+21.75%。
・直近の2021年2月坪単価が13ヶ月での最大値となったところが15市区あり、多くのエリアで昨年からの坪単価の上昇傾向は継続中。
・13ヶ月の坪単価変遷で、最大値と最小値の差額がもっとも大きいのは「東京都千代田区」の60万9,400円。もっとも小さいのは「新潟県新潟市中央区」の6万1,900円。
【調査対象】
※2021年3月12日現在の自社調べデータ
※対象物件数…当月に取引事例のあったマンションの物件数。
■全国市区町村 マンション坪単価ランキング100(2021年2月)
・2021年2月に対象物件数が30件以上ある201市区町村。
■全国市区町村 騰落率ランキング100(2021年2月)
・2020年2月~2021年2月の13ヶ月の合計で対象物件数が300件以上ある242市区町村。
・騰落率は、2020年2月と2021年2月の坪単価を比較して算出。
■47都道府県 騰落率/マンション坪単価 トップの市区町村(2021年2月)
・2020年2月~2021年2月の13ヶ月の合計で対象物件数が65件以上(福井市のみ64件)ある435市区町村。
・騰落率は、2020年2月と2021年2月の坪単価を比較して算出。
・坪単価は、2020年2月~2021年2月の13ヶ月で平均を算出。
■主要25市区 マンション坪単価の変遷
・都心5区(千代田区・中央区・港区・新宿区・渋谷区)および20政令指定都市。
・政令指定都市は、市役所が設置されている区を代表区として調査。
【各調査項目での結果(抜粋)】
■全国市区町村 マンション坪単価ランキング100(2021年2月)
※上位20位のみ抜粋。全ランキングはデータ資料に掲載。
※単位:円
・上位20位までは首都圏の市区が占める。
・首都圏以外でのトップは、22位の「京都府京都市中京区」。
■全国市区町村 騰落率ランキング100(2021年2月)
・対象の全242市区町村のうち、騰落率がプラスとなったのは175市区。
■47都道府県 騰落率/マンション坪単価 トップの市区町村
※坪単価 単位:円
■主要25市区 騰落率/マンション坪単価
※市区別の13ヶ月の変遷グラフはデータ資料に掲載。
※坪単価 単位:円

・騰落率1位 福岡県北九州市小倉北区

・13ヶ月の最大値と最小値の差額1位 東京都千代田区


※本調査の全データにつきましては、以下URLをご参照ください。
※本リリースのデータをご利用いただく際は、引用元として【株式会社ワンノブアカインド 調べ】とご明記ください。
【マンションレビュー概要】

当社が2010年より運営しているマンションの情報提供サイト。全国約14万7千棟の物件の概要だけでなく、『クチコミ』『適正相場』『資産価値』もわかる情報サイトで、登録会員(無料)や全国の不動産会社1,500社以上に、さまざまな角度からの物件情報・データを提供。2020年の年間訪問ユーザー数は約1,200万人で、前年同期比120.33%、PV数も同110.07%とコロナ禍でも落ちこむことなく推移。2020年12月16日に公開を開始した新サービス「マンション将来価格予測サービス」も好評で、2021年3月には登録会員が43万人を突破いたしました。
当社では今後も多くのユーザーの「消費者が後悔しない不動産取引」を実現するべく、さまざまな
サービスの開発・提供を進めてまいります。
・マンション情報サイト「マンションレビュー」
・過去のプレスリリース一覧
【会社概要】
社名:株式会社ワンノブアカインド
所在地:105-0001 東京都港区虎ノ門3丁目4番7号 虎ノ門36森ビル 10階
代表者:代表取締役社長 川島 直也
設立:2009年9月10日
資本金:3,179万9,000円
事業内容:不動産メディアサービス企画・立案・運営、WEB制作、広告代理業務
コーポレートサイト:https://www.one-of-a-kind.co.jp/