抗ウイルス・抗菌・抗老化作用をもつ『VB』に新たな可能性  美白効果およびマクロファージ活性への関与を確認

~欧州医学学会の公式ジャーナル『Medical Research Archives』に掲載されました~

「おしぼり」を軸におもてなしの感動を創造するFSX株式会社(本社:東京都国立市、代表取締役社長:藤波克之、以下FSX)は横浜薬科大学との共同研究により、抗ウイルス・抗菌活性を有する『VB(ブイビー)』の主成分である3種のポリオキソメタレート(VB1,VB2,VB3)による、メラニン合成に及ぼす影響並びに、皮膚表皮層の透過性の検討を行いました。藤波克之が筆頭著者である共著論文『ポリオキソメタレートによる皮膚恒常性におけるメラニン合成、及びマクロファージ機能への作用』が、欧州医学学会の公式ジャーナル『Medical Research Archives』に採択されましたのでお知らせします。本研究ではケラチノサイトとメラノサイトからなるヒト皮膚3次元モデルを採用し、より生体内の反応に近い実験系を用いて検証を行っています。VBs(VB1,VB2,VB3)は色素代謝や免疫恒常性を調節する生理活性化合物として皮膚の再生や抗老化に関連する各過程に関与している可能性が高いことが示唆されました。

本研究の成果ポイント

(1) VBはメラニンの生成を促す酵素・チロシナーゼの活性を阻害することで、シミやそばかすの原因となるメラニンの合成を抑制することが確認された。特にVB2単独とVB1+VB2+VB3併用では、美白に有効な化粧品成分として有名な1%kojic acid(コウジ酸)と同等レベルまでチロシナーゼ活性を抑制する傾向がみられた。

(2) VBは表皮層を透過し、真皮層まで到達することが確認できた。さらにVBが真皮層に局在するマクロファージの活性化に寄与しうることが、mRNAレベル、NO産生、貪食能の3つの実験系で示された。mRNAレベルでは、マクロファージ活性の指標となるNO合成酵素(iNOS)をVB3は大幅に上昇させ、また老化細胞を認識し貪食するSTAB1と、貪食したことを近傍の幹細胞に情報伝達して再生を促すFGF2の発現をVB3とVB1は上昇させる傾向が見られた。マクロファージが産出するNO量を調べるために、関連するNitriteの生成量を測定したところ、VB1を除いてすべてのVB群で有意に増加し、特にVB3単独及び各種VBの併用では相加効果も認められた。さらに蛍光ビーズを用いた貪食能の検討において、すべてのVB群で貪食能の活性が強化され、特にVB3の活性は強力であり、その効果は各種VBとの併用によっても阻害されることはなかった。

(3) VBはヒト皮膚3次元モデルに繰り返し添加しても細胞毒性は認めらず、これまでの研究と同様に、安全な生理活性化合物であることが確認された。またこれらの効果はVB1,VB2,VB3によって若干異なるため、VBを複数併用する方が相加効果を期待できるため有効だと考えられる。

FSXでは2012年に、遷移金属元素の酸化物クラスターであるPolyoxometalates(ポリ酸)を主成分とした、耐性株を誘導しない安心安全な抗菌・抗ウイルス活性物質『VB(特許第6739772号)』の開発に成功し、その技術を衛生用品のおしぼりに応用してまいりました。さらに2021年の研究では、多面的に抗糖化・抗酸化作用が認められ、ポリ酸は抗ウイルス作用にとどまらず、皮膚に対する抗老化作用が期待できる物質であることが強く示唆されました。2023年にはこれらの技術を応用し、エイジングケアをサポートする(肌を清浄し、整え、潤いを与える)機能を備えた『VB -COSME-(特許第7278638号)』の開発に成功。おしぼり業界としては初となる、手指のみならず全身に使用できる化粧品区分のおしぼりを発売しています。さらに2025年の研究により、VBsには、皮膚細胞に対する糖化や酸化ストレス、紫外線照射によるダメージに対して抵抗性を高める作用があることが確認されています。加えて、間葉系幹細胞にVBsを処理することで、通常分泌されるエクソソームとは性質の異なるエクソソームが分泌され、より多面的な抗老化作用を発揮する可能性が示されました。

直接肌に触れるおしぼりだからこそ、手指衛生はもちろんのこと、健やかな肌に寄与するおしぼりの開発を目指し、FSXは『VB/VB -COSME-』の生活環境への適応を目的とした応用研究を続けています。FSXでは引き続き、健康に資するヘルスサイエンス領域における新しい事業展開や製品開発を通じて、おしぼりの価値を高める持続的成長を続けてまいります。

参考資料

掲載ジャーナル: 『Medical Research Archives』
論文掲載   : doi: https://doi.org/10.18103/mra.v14i1.7121
論文掲載URL  : https://esmed.org/MRA/mra/article/view/7121/99193549933

論文タイトル

Polyoxometalates-mediated regulation of melanin biosynthesis and macrophage function in skin homeostasis
ポリオキソメタレートによる皮膚恒常性におけるメラニン合成およびマクロファージ機能への作用
藤波克之*1,*2、冨永ななみ*1、團克昭*3,*4、香川(田中)聡子*2、河村伊久雄*2

*1:FSX株式会社
*2:横浜薬科大学 健康薬学科
*3:生物活性研究機構 研究開発部門
*4:横浜薬科大学 薬学部

要旨

皮膚は複雑な多層構造の器官であり、バリア機能、免疫・化学的防御、感覚知覚、代謝調節といった必須機能がある。生体の恒常性(ホメオスタシス)は、心理・社会的ストレスや加齢、免疫細胞活動の影響を受ける。常在細胞である線維芽細胞は、細胞外マトリックスを合成し、メラノサイトはそばかすや老人性斑点の原因となるメラニン色素を生成する。
皮膚の恒常性は免疫監視機構によって維持されている。マクロファージは異物や老化細胞を貪食し、また炎症を抑制する一酸化窒素やサイトカイン、ケモカインを産出する。最近の研究により、皮膚マクロファージはスタビリン-1(STAB1)を介して老化細胞を認識し、貪食によってそれらを排除し、線維芽細胞成長因子-2(FGF2)を分泌することで近傍の幹細胞にシグナルを送り、再生を促すことが提唱された。ポリオキソメタレート(ポリ酸)は、水素結合を基本骨格とする多種多様なクラスター構造から成る。この基本骨格には、6個ないし8個の酸素原子が配位した還移金属化合物である。これらの化合物は抗菌性及び抗ウイルス性を示し、さらに皮膚科学やアンチエイジングへの応用の可能性が期待されている。3種のポリ酸かならなるVB、VB1:VOSO4、VB2:K11H[(VO)3(SbW9O33)2]・27H2O、VB3:Na2[SbW9O34]・19H2Oは、皮膚線維芽細胞及び間葉系幹細胞において抗酸化作用及び抗老化作用を示すことが実証されている。その作用の一部は、シスチンの取り込みが増加し、それによりグルタチオン合成が増強することによるものと考えられる。
本研究では、ケラチノサイトとメラノサイトからなるヒト皮膚3次元モデルを採用し、VBがメラニン合成に与える影響と、VBが表皮層を透過するかを検証した。さらにヒト単球性U937細胞株を用いて、マクロファージを介した老化細胞の制御や組織再生に対するVBの効果も検討した。これによりVBはチロシナーゼ活性を抑制することでメラニン合成を阻害することが示唆された。さらにVBは表皮層を透過し、真皮層に局在するマクロファージに作用し、STAB-1及びFGF2の発現を上昇させた。これらの知見は、老化細胞の認識と再生シグナル伝達の増強を通じて、VBがマクロファージ機能を調節することを示唆している。実際にVBは、U937細胞株を用いた実験により、マクロファージにおけるSTAB-1及びFGF2の発現を上昇させることが確認されている。VBは色素代謝や免疫恒常性を調節する生物活性化合物として、皮膚の再生や抗老化に関連する経過に寄与している可能性が高い。

【掲載論文内容】掲載論文内容より、試験部分の内容の一部を紹介しています

3D皮膚モデルを使用した表皮画像の解析(図1)

3D皮膚モデルを使用した表皮画像の解析(図1)
3D皮膚モデルを使用した表皮画像の解析(図1)

3D皮膚モデルを使用して色素沈着について評価した。表皮表面に検体を継続的に3週間添加し、16日目と22日目の表面画像を撮影し、色調変化を観察した。その後グレースケール(0-255)を用いて数値化した。

すべての検体で、16日目より22日目の方が黒化が進んで見える。1%kojic acidでは、コントロール群と比べると明らかに白色化が認められるが、VB群については特に差異は見られなかった。画像をグレースケールに変換して数値化して比べても、同様の結果だった。

3D皮膚モデルの病理組織標本(図2)

3D皮膚モデルの病理組織標本(図2)
3D皮膚モデルの病理組織標本(図2)

(a) 22日目に一部の皮膚組織切片をホルマリン処理し、H&E(ヘマトキシリン&エオシン)染色およびフォンタナ-マッソ染色によりメラニンの存在を確認した。
H&E染色で核は無傷であることが確認できたが、1%kojic acidでは表皮の構造に変化が認められた。有棘層が失われ、角質層も菲薄化していた。VB1は全体に染色が弱く、VB2は層構造をはっきりと有し、有棘層の厚みやひだの構造も十分だった。

(b) フォンタナ-マッソ染色で確認されたメラニン陽性領域を画像解析した。
1%kojic acidでは明らかなメラニンの減少が確認された。またVB2単独、VB1+VB2+VB3でもメラニンの減
少が確認された。

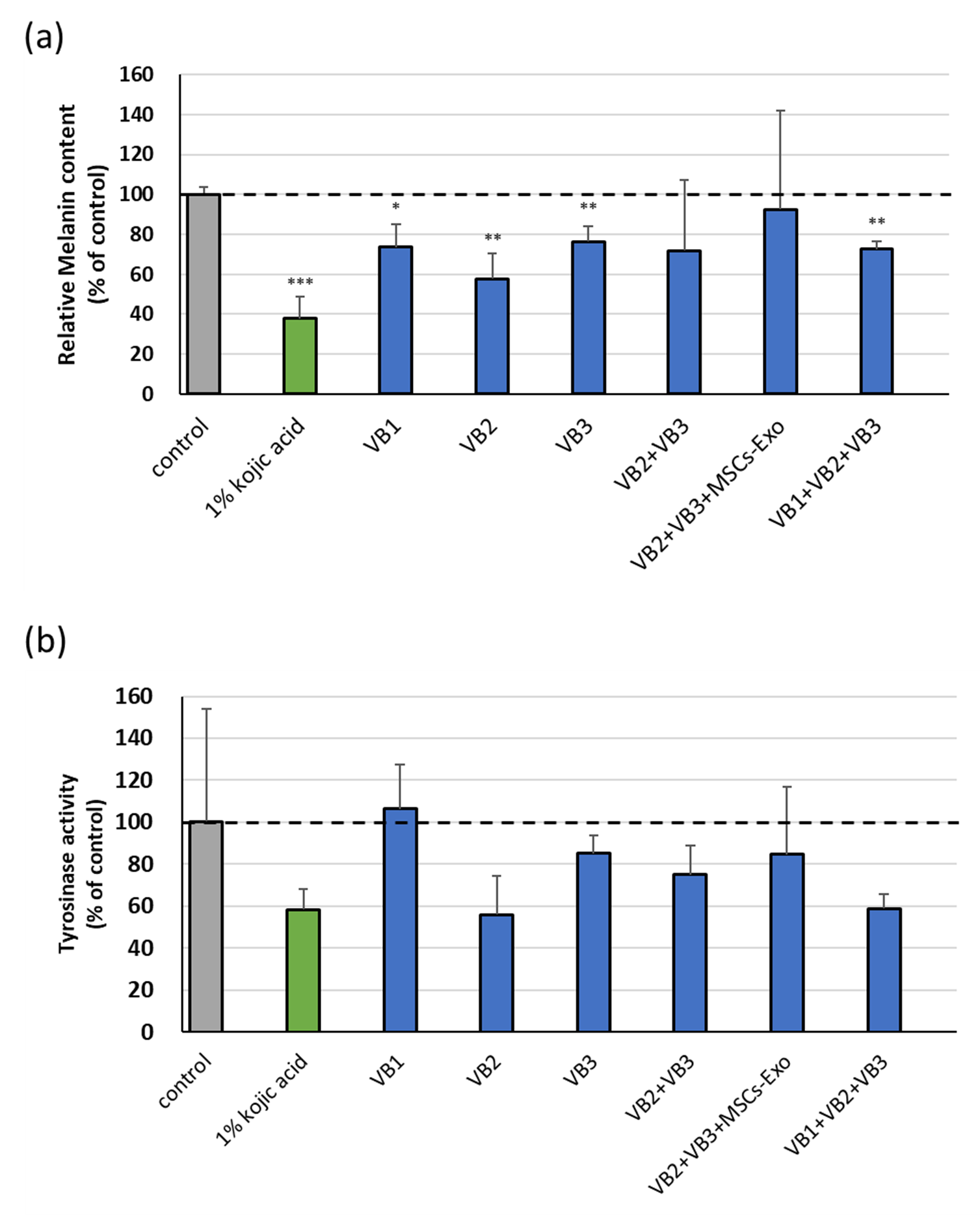
3D皮膚モデルにおけるメラニン及びチロシナーゼ活性の測定(図3)

3D皮膚モデルにおけるメラニン及びチロシナーゼ活性の測定(図3)
3D皮膚モデルにおけるメラニン及びチロシナーゼ活性の測定(図3)

22日目に、チャンバーの組織全体におけるメラニン量及びチロシナーゼ活性を測定した。

(a)メラニン量
メラニン量は1%kojic acid、VB1,VB2,VB3単独及びVB1+VB2+VB3の併用で有意な減少が認められた。VB群の中では、VB2単独が最も強い抑制効果を示した。

(b)チロシナーゼ活性
チロシナーゼ活性は、各群とも有意な差は得られなかったが、メラニン量が低いVB2単独、VB1+VB2+VB3併用では、1%kojic acidと同等レベルまでチロシナーゼ活性を抑制する傾向がみられた。

VBの皮膚透過率を検証するための配合元素の検出(図4)

VBの皮膚透過率を検証するための配合元素の検出(図4)
VBの皮膚透過率を検証するための配合元素の検出(図4)

皮膚モデル培養プレートのチャンバー下部から培養液を回収し、培養液中のVBの元素成分(V, S, W, Sb)を定量することで、VBの皮膚透過率を検証した。

(a)すべてのVB群において、添加後1時間ですでにVBの元素成分が検出され、表皮層を透過していることが判明した。その後24時間、48時間において、透過率に特に大きな増減はなく、一定の透過率を示した。

(b)24時間後の透過率が最も高かったのは、VB1単独の49.6%で、次に高かったのはVB1+VB2+VB3の33.3%だった。

VBがマクロファージ機能に及ぼす作用(mRNA)(図5)

VBがマクロファージ機能に及ぼす作用(mRNA)(図5)
VBがマクロファージ機能に及ぼす作用(mRNA)(図5)

VBが表皮層を通過することが確認できたため、真皮層に存在するマクロファージ機能への影響を想定し、VBのマクロファージの活性について検討を行った。マクロファージ活性の解析には定量RT-PCRを使用し、VB1,VB2,VB3を添加したときのマクロファージにおける(a)NO合成酵素(iNOS)、(b)STAB1、(c)FGF2を測定した。
測定の結果、NO合成酵素は若干上昇する傾向が認められた。特にVB3は(DeltaDeltaCt2以上と)有意差のある上昇が認められた。老化細胞を認識するSTAB1は、VB1、VB3で上昇傾向が認められた。さらに貪食した際に近傍の幹細胞へ再生を促すFGF2も、有意な差ではなかったが、VB1、VB3で強い上昇傾向を示した。

VBがマクロファージ機能に及ぼす作用(NO産生)(図6)

VBがマクロファージ機能に及ぼす作用(NO産出)(図6)
VBがマクロファージ機能に及ぼす作用(NO産出)(図6)

VB3がmRNAレベルでNO合成酵素を顕著に上昇させたので、マクロファージが生成するNitrite量を測定した。LPSを陽性コントロール として用いた。

Nitrite生成量は、LPS,1μg/mlが顕著に増加したが、LPS,0.1μg/mlと VB1を除いて各群で有意な上昇を示した。その上昇の程度は、mRNAレベルで見られたiNOSとほぼ同様の傾向が認められた。単独ではVB3が最も強く、VB2とVB3を併用すると、相加効果が認められた。

VBがマクロファージ機能に及ぼす作用(貪食能)(図7)

VBがマクロファージ機能に及ぼす作用(貪食能)(図7)
VBがマクロファージ機能に及ぼす作用(貪食能)(図7)

蛍光ビーズの取り込み量によって、マクロファージの貪食能を評価した。マクロファージにVB1,VB2,VB3と蛍光ビーズを同時に一定量添加し、マクロファージが貪食したビーズの蛍光強度を測定した。LPSを陽性コントロールとして用いた。

(a)LPSは濃度に依存して貪食能が高まることが画像でも確認され、貪食能を評価し得るマクロファージであることが示された。

(b)その評価系を用いてVBの貪食能を測定した結果、各群において有意な上昇が確認された。特にVB3では、強い活性を示し、VB2やVB1との併用によって、効果が阻害されることはなかった。

<FSX株式会社について> https://www.fsx.co.jp/
「おしぼりは物のサービスではなく心のサービス」を理念に、1967 年に貸しおしぼり業として創業。日本発祥のおしぼりを、衛生とおもてなしの「おしぼり文化」として再定義し、抗ウイルス・抗菌の衛生技術『VB(ブイビー)』や製造加工機の開発、アロマやデザインを取り入れ、OSHIBORIを文化ごと世界に輸出するなど、ソフトとハードの両面からおしぼりの新たな価値や市場を創出しています。2025年にはFSXのブランドコンセプトを伝える新スタイルの飲食店「Expression Kawaguchiko」を富士河口湖町に開業。国内外へ広くOSHIBORI文化を広めるため、おしぼりから広がるおもてなしの感動を創造し続けます。

<FSX 富士株式会社について> https://www.fsx.co.jp/fsxfuji_oshibori/
FSX 富士株式会社は、東京・国立の地で創業 55年を迎える FSX 株式会社のグループ会社として、2020年9月に富士河口湖町に設立いたしました。「おしぼりは物のサービスではなく心のサービス」を理念として、富士五湖を中心におしぼりのレンタル、企画販売事業を展開しています。FSX グループならではの、抗ウイルス「VBおしぼり」や、天然アロマのおしぼり等、エリア唯一のおしぼりを提供しています。富士河口湖町の観光資源であるラベンダーを活用した『ふじぴょん』おしぼりを開発するなど、今後も観光資源豊富な富士山麓の地で、地域密着型事業による利点を活かしたマーケティングにより、おしぼりの新たな可能性を引き出す積極的な製品開発を行ってまいります。


AIが記事を作成しています